Хондроитинсульфат — презентация
logo
Хондроитинсульфат
  • Хондроитинсульфат
  • Хондроитинсульфаты
  • Хондроитинсульфат
  • Физико-химические свойства
  • Физико-химические свойства
  • Физико-химические свойства
  • Хондроитинсульфат
  • Агрекан
  • Лечение
1/9

Первый слайд презентации: Хондроитинсульфат

Изображение слайда

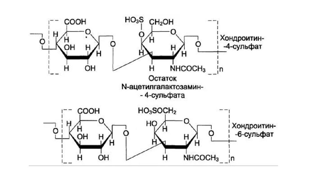
Слайд 2: Хондроитинсульфаты

Хондроитинсульфаты – сульфатированные гетерополисахариды с молекулярной массой 103-6 103 Да. Содержат в своем составе до 40 дисахаридных единиц. В зависимости от положения сульфатной группировки в молекуле галактозамина различают хондроитин-4-сульфаты и хондроитин-6-сульфаты. Они являются основным компонентом агрекана в хрящевом межклеточном матриксе и широко распространены в организме человека. Хондроитинсульфаты входят в состав хрящей (так, например, в хряще носовой перегородки их содержание составляет от 20 до 40 %), сухожилий, связок, кожи, роговицы, стенок артерий, чем значительно уменьшают проницаемость гистогематических барьеров.

Изображение слайда

Слайд 3

Изображение слайда

Слайд 4: Физико-химические свойства

Хондроитинсульфаты растворимы в воде и нерастворимы в органических растворителях. Гидролиз в кислой среде.  Продуктами полного кислотного гидролиза хондроитинсульфатов (кроме кератансульфата ) являются β- D - глюкуроновая  , β- D - галактозамин,  серная  и  уксусная кислоты. В качестве примера на приведена схема реакции кислотного гидролиза хондроитинсульфата А.

Изображение слайда

Слайд 5: Физико-химические свойства

Изображение слайда

Слайд 6: Физико-химические свойства

Ферментативный гидролиз.Продуктами ферментативного гидролиза хондроитинсульфатов под действиемгиалуронидазразличного типа являются ди - и тетрасахариды. Может образовываться также ненасыщенный дисульфатированный дисахарид.

Изображение слайда

Слайд 7

Изображение слайда

Слайд 8: Агрекан

Он представляет собой одну полипептидную цепь (« коровый » или сердцевидный белок),к которой присоединяются до 100 цепей хондроитинсульфатов и около 30 цепей кератансульфатов. При этом образуется соединение, напоминающее по форме бутылочный ёршик

Изображение слайда

Последний слайд презентации: Хондроитинсульфат: Лечение

Хондроитин сульфат применяется при лечении  остеоартрита. Научные данные не показывают никакой пользы, когда хондроитин сульфат принимается сам по себе. Тем не менее опыт показывает, что в сочетании с  глюкозамином  он может уменьшить боль в суставах, улучшить подвижность суставов, а также позволить снизить дозы обычных противовоспалительных средств при приеме в течение 6–24 месяцев. Действие на протяжении длительных периодов остается неясным. Механизм действия неизвестен. Доза от 600 мг 1 раз/день до 400 мг 3 раза/день перорально.

Изображение слайда

Похожие презентации

Ничего не найдено