Общие сведения о процессе продольной прокатки — презентация
logo
Общие сведения о процессе продольной прокатки
  • Общие сведения о процессе продольной прокатки
  • Общие сведения о процессе продольной прокатки
  • Общие сведения о процессе продольной прокатки
  • Общие сведения о процессе продольной прокатки
  • Общие сведения о процессе продольной прокатки
  • Общие сведения о процессе продольной прокатки
  • Общие сведения о процессе продольной прокатки
  • Общие сведения о процессе продольной прокатки
  • Общие сведения о процессе продольной прокатки
  • Общие сведения о процессе продольной прокатки
  • Общие сведения о процессе продольной прокатки
  • Общие сведения о процессе продольной прокатки
1/12

Первый слайд презентации

Общие сведения о процессе продольной прокатки

Изображение слайда

Слайд 2

- Абсолютное обжатие - Уширение - Угол захвата - Длина дуги захвата - Уравнение Э. Зибеля - Площадь контакта металла с валком Основные геометрические параметры очага деформации :

Изображение слайда

Слайд 3

- Усилие прокатки - Момент прокатки Основные энерго-силовые параметры прокатки : - коэфф-т плеча приложения равнодействующей

Изображение слайда

Слайд 4

- Коэффициент вытяжки - Коэффициент уширения - Коэффициент обжатия Обратим внимание, что с учетом: Коэффициенты относительной деформации : Основные параметры пластической деформации : - обжатия - уширения - удлинения ( * )

Изображение слайда

Слайд 5

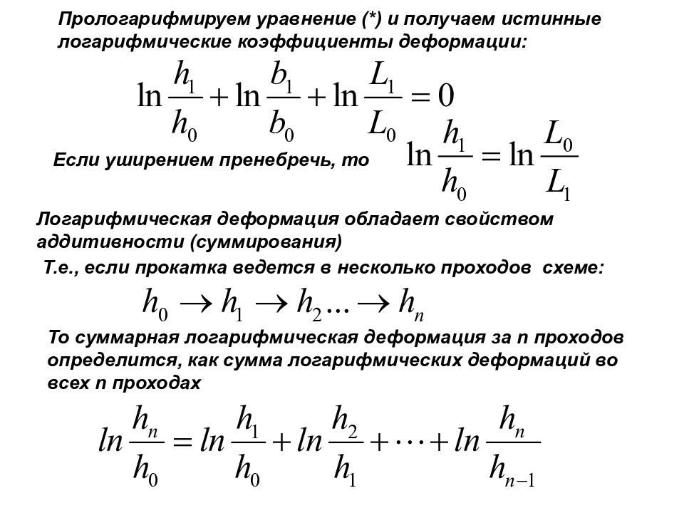
Если уширением пренебречь, то Логарифмическая деформация обладает свойством аддитивности ( суммирования ) Т.е., если прокатка ведется в несколько проходов схеме: То суммарная логарифмическая деформация за n проходов определится, как сумма логарифмических деформаций во всех n проходах Прологарифмируем уравнение (*) и получаем истинные логарифмические коэффициенты деформации:

Изображение слайда

Слайд 6

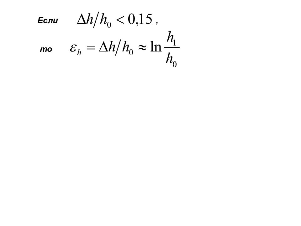
Если , то

Изображение слайда

Слайд 7

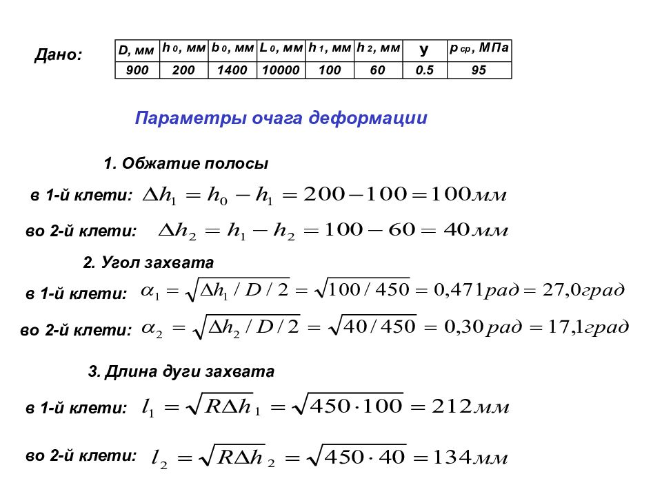
Пример выполнения ДЗ 1 (Прокатка) Полосу толщиной 60 мм прокатывают в непрерывном двухклетьевом стане в рабочих валках диаметром 900 мм. Размеры полосы на входе в стан: h 0 хb 0 хL 0 =200х1400х10000 мм Определить основные геометрические, деформационные и энерго-силовые параметры прокатки Среднее давление прокатки p ср =95 МПа Коэффициент плеча момента прокатки y =0,5

Изображение слайда

Слайд 8

Дано: 1. Обжатие полосы в 1-й клети: во 2-й клети: 2. Угол захвата в 1-й клети: во 2-й клети: 3. Длина дуги захвата в 1-й клети: во 2-й клети: Параметры очага деформации

Изображение слайда

Слайд 9

4. Уширение (ф-ла Э.Зибеля) в 1-й клети: во 2-й клети: 5. Ширина полосы после прокатки в 1-й клети: во 2-й клети: 6. Площадь контакта металла с валком в 1-й клети: во 2-й клети:

Изображение слайда

Слайд 10

7. Коэффициент вытяжки в 1-й клети: во 2-й клети: 8. Коэффициент уширения в 1-й клети: во 2-й клети: 9. Коэффициент обжатия в 1-й клети: во 2-й клети: суммарный: суммарный: суммарный: Деформационные параметры

Изображение слайда

Слайд 11

10. Относительное обжатие в 1-й клети: во 2-й клети: 11. Логарифмическая (истинная) деформация в 1-й клети: во 2-й клети: суммарная:

Изображение слайда

Последний слайд презентации: Общие сведения о процессе продольной прокатки

Энерго-силовые параметры 12. Усилие прокатки в 1-й клети: во 2-й клети: 1 3. Момент прокатки в 1-й клети: во 2-й клети:

Изображение слайда

Похожие презентации