Лекция №19 Спектры непериодических сигналов — презентация
logo
Лекция №19 Спектры непериодических сигналов
  • Лекция №19 Спектры непериодических сигналов
  • Лекция №19 Спектры непериодических сигналов
  • Лекция №19 Спектры непериодических сигналов
  • Лекция №19 Спектры непериодических сигналов
  • Лекция №19 Спектры непериодических сигналов
  • Прямое преобразование Фурье:
  • Обратное преобразование Фурье:
  • Лекция №19 Спектры непериодических сигналов
  • Лекция №19 Спектры непериодических сигналов
  • Лекция №19 Спектры непериодических сигналов
  • Лекция №19 Спектры непериодических сигналов
  • Лекция №19 Спектры непериодических сигналов
  • Одностороннее преобразование Фурье. Связь с преобразованием Лапласа
  • преобразования Лапласа:
  • при
  • 1) Спектр импульса включения
  • 2) Спектр  -импульса
  • ТЕОРЕМЫ О СПЕКТРАХ
  • Лекция №19 Спектры непериодических сигналов
  • Лекция №19 Спектры непериодических сигналов
  • Лекция №19 Спектры непериодических сигналов
  • Лекция №19 Спектры непериодических сигналов
  • 8. Равенство Парсеваля (теорема Релея)
  • Лекция №19 Спектры непериодических сигналов
  • Равенство Парсеваля применяют для выбора полосы пропускания канала
  • Лекция №19 Спектры непериодических сигналов
  • Лекция №19 Спектры непериодических сигналов
  • Лекция №19 Спектры непериодических сигналов
1/28

Первый слайд презентации: Лекция №19 Спектры непериодических сигналов

Изображение слайда

Слайд 2

С увеличением периода сигнала Т спектральные линии сгущаются а их амплитуды уменьшаются. При периодическая последовательность переходит в одиночный импульс. Спектральные линии такого импульса сольются друг с другом и спектр станет сплошным (такой спектр содержит бесконечное число гармоник с бесконечно малыми амплитудами).

Изображение слайда

Слайд 3

Изображение слайда

Слайд 4

Изображение слайда

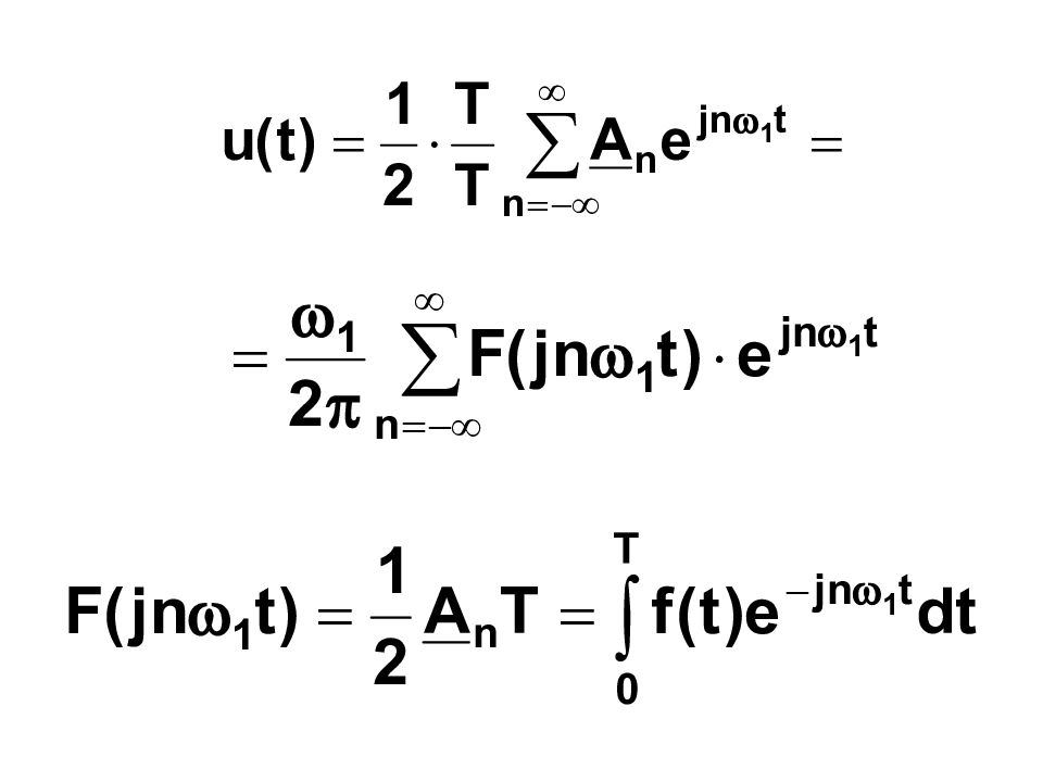
Слайд 5

- спектральная плотность сигнала

Изображение слайда

Слайд 6: Прямое преобразование Фурье:

позволяет определить спектральную плотность сигнала

Изображение слайда

Слайд 7: Обратное преобразование Фурье:

позволяет определить сигнал по его спектральной плотности

Изображение слайда

Слайд 8

Изображение слайда

Слайд 9

Спектр прямоугольного импульса

Изображение слайда

Слайд 10

Изображение слайда

Слайд 11

нули:

Изображение слайда

Слайд 12

- спектр сплошной

Изображение слайда

Слайд 13: Одностороннее преобразование Фурье. Связь с преобразованием Лапласа

Если при - одностороннее преобразование Фурье

Изображение слайда

Слайд 14: преобразования Лапласа:

Изображение слайда

Слайд 15: при

Преобразование Лапласа Преобразование Фурье Для определения спектра сигнала можно использовать преобразование Лапласа

Изображение слайда

Слайд 16: 1) Спектр импульса включения

Изображение слайда

Слайд 17: 2) Спектр  -импульса

Изображение слайда

Слайд 18: ТЕОРЕМЫ О СПЕКТРАХ

1.  теорема линейности 2.  теорема запаздывания Спектральная плотность амплитуд не меняется, меняется только спектральная плотность фаз

Изображение слайда

Слайд 19

3.  теорема дифференцирования - если - если Дифференцирование сигнала ведет к расширению его спектра

Изображение слайда

Слайд 20

4.  теорема интегрирования - нулевые начальные условия - ненулевые начальные условия Интегрирование сигнала ведет к сужению его спектра

Изображение слайда

Слайд 21

5. Теорема подобия 6. Теорема смещения Чем короче импульс, тем шире его спектр При умножении сигнала на гармоническое колебание его спектр смещается по шкале частот на величину, равную частоте гармонического колебания.

Изображение слайда

Слайд 22

7. Теорема свертки

Изображение слайда

Слайд 23: 8. Равенство Парсеваля (теорема Релея)

Энергия сигнала во временной области равна энергии сигнала в частотной области

Изображение слайда

Слайд 24

энергия электрического сигнала, рассеиваемая на сопротивлении R =1Ом спектральная плотность энергии сигнала (энергетический спектр) показывает, какая доля энергии заключена в каждой полоске частот шириной в окрестности частоты и

Изображение слайда

позволяет судить об распределении энергии в спектре непериодического сигнала Равенство Парсеваля применяют для выбора полосы пропускания канала

Изображение слайда

Слайд 26

выбирают из условия передачи 90% энергии сигнала Найдем для прямоугольного импульса

Изображение слайда

Слайд 27

Изображение слайда

Последний слайд презентации: Лекция №19 Спектры непериодических сигналов

Ширина спектра равна ширине основного лепестка и обратно-пропорциональна длительности импульса

Изображение слайда

Похожие презентации