Изгиб стержней. Плоский изгиб — презентация
logo
Изгиб стержней. Плоский изгиб
  • Изгиб стержней. Плоский изгиб
  • Изгиб стержней
  • Изгиб стержней. Плоский изгиб
  • Плоский изгиб
  • Внутренние силы при плоском изгибе
  • Условия закрепления (граничные условия)
  • Изгиб стержней. Плоский изгиб
  • Изгиб стержней. Плоский изгиб
  • Изгиб стержней. Плоский изгиб
  • Изгиб стержней. Плоский изгиб
  • Дифференциальные зависимости между внутренними силами
  • Изгиб стержней. Плоский изгиб
  • Правило качественной проверки правильности построения эпюр
  • Изгиб стержней. Плоский изгиб
  • Изгиб стержней. Плоский изгиб
  • Плоский изгиб
  • Плоский чистый изгиб
  • Задача
  • Изгиб стержней. Плоский изгиб
  • Изгиб стержней. Плоский изгиб
  • Гипотеза плоских сечений
  • Нормальные напряжения σ
  • Изгиб стержней. Плоский изгиб
  • Изгиб стержней. Плоский изгиб
  • Изгиб стержней. Плоский изгиб
  • Изгиб стержней. Плоский изгиб
  • Изгиб стержней. Плоский изгиб
  • Изгиб стержней. Плоский изгиб
  • Изгиб стержней. Плоский изгиб
  • Поперечная деформация
  • Моменты инерции и моменты сопротивления некоторых сечений
  • Изгиб стержней. Плоский изгиб
  • Изгиб стержней. Плоский изгиб
  • Кольцевое сечение
  • Изгиб стержней. Плоский изгиб
  • Изгиб стержней. Плоский изгиб
  • Изгиб стержней. Плоский изгиб
  • Условия реализации плоского изгиба
  • Изгиб стержней. Плоский изгиб
  • Изгиб стержней. Плоский изгиб
  • Рациональные формы сечений
  • Состояние предельной упругости и расчет изогнутого стержня на прочность
  • Изгиб стержней. Плоский изгиб
  • Изгиб стержней. Плоский изгиб
  • Распространение зависимостей, полученных для чистого изгиба, на общий случай изгиба
  • Изгиб стержней. Плоский изгиб
  • Изгиб стержней. Плоский изгиб
  • Спасибо за внимание!
1/48

Первый слайд презентации: Изгиб стержней. Плоский изгиб

Изображение слайда

Слайд 2: Изгиб стержней

Изображение слайда

Слайд 3

Деформирование оси стержня при изгибе

Изображение слайда

Пусть все силы лежат в плоскости симметрии, реализуется плоский изгиб в плоскости симметрии.

Изображение слайда

Пусть стержень имеет плоскость симметрии

Изображение слайда

а) шарнирно- неподвижная опора б) шарнирно- подвижная опора

Изображение слайда

Слайд 7

а) заделка б) упругое опирание в) упругое опирание

Изображение слайда

Слайд 8

Изображение слайда

Слайд 9

Изображение слайда

Слайд 10

Изображение слайда

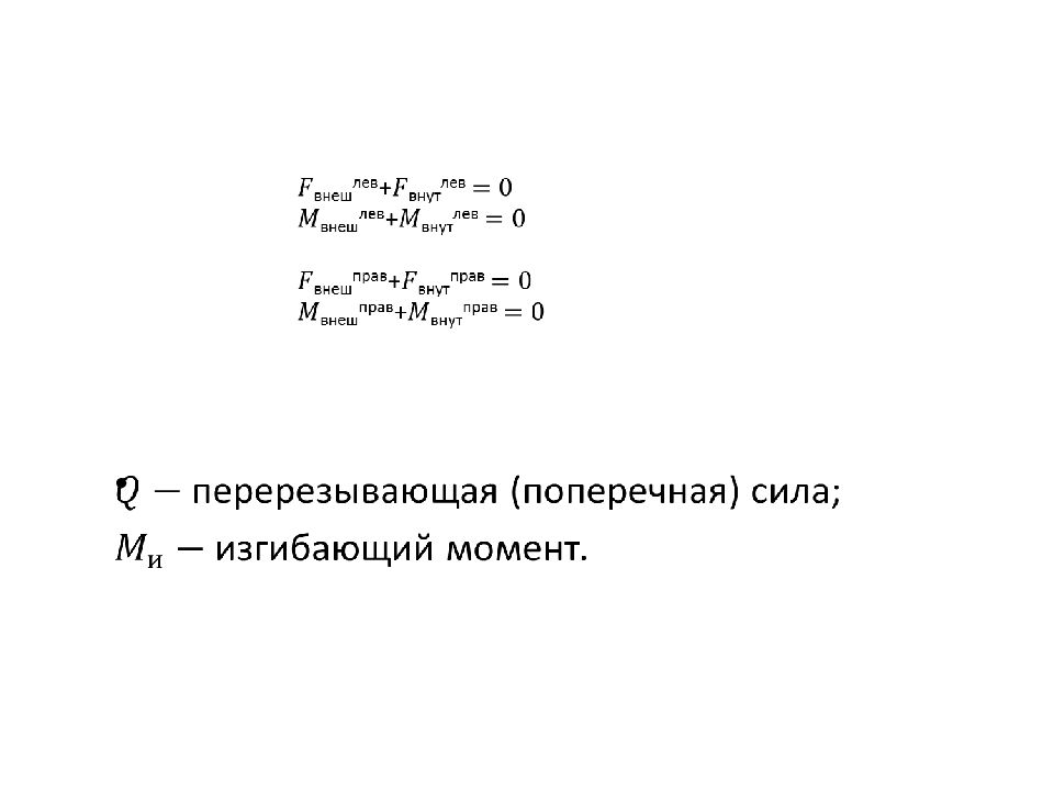
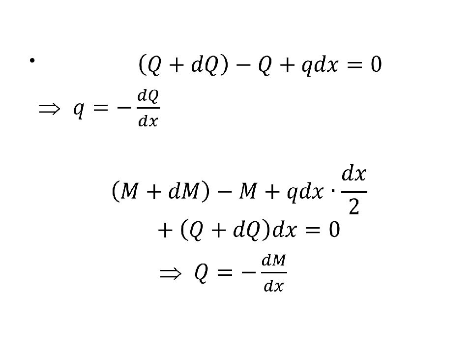
Слайд 11: Дифференциальные зависимости между внутренними силами

Изображение слайда

Слайд 12

Изображение слайда

Слайд 13: Правило качественной проверки правильности построения эпюр

… … Рис.14

Изображение слайда

Слайд 14

4. «Правило зонтика» (у строителей «правило раковины»)

Изображение слайда

Слайд 15

Деформации и напряжения при чистом плоском изгибе

Изображение слайда

Слайд 16: Плоский изгиб

Изображение слайда

Слайд 17: Плоский чистый изгиб

Изображение слайда

Слайд 18: Задача

Изображение слайда

Слайд 19

Изображение слайда

Слайд 20

Изображение слайда

Слайд 21: Гипотеза плоских сечений

Изображение слайда

Слайд 22: Нормальные напряжения σ

Пусть: Ось x совпадает с продольной осью стержня. Ось y совмещена с осью симметрии. Ось z лежит в нейтральном слое (пересечение нейтрального слоя и поперечного сечения)

Изображение слайда

Слайд 23

Изображение слайда

Слайд 24

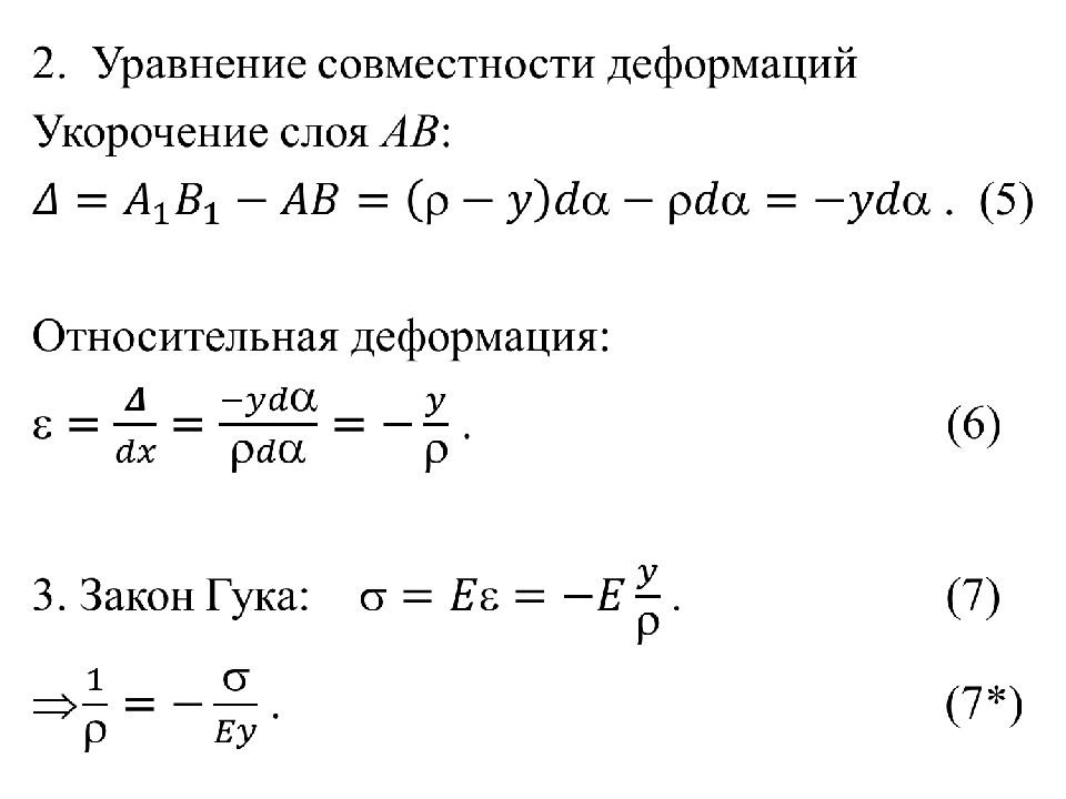
Элемент балки длинной dx в исходном и деформированном состояниях.

Изображение слайда

Слайд 25

Изображение слайда

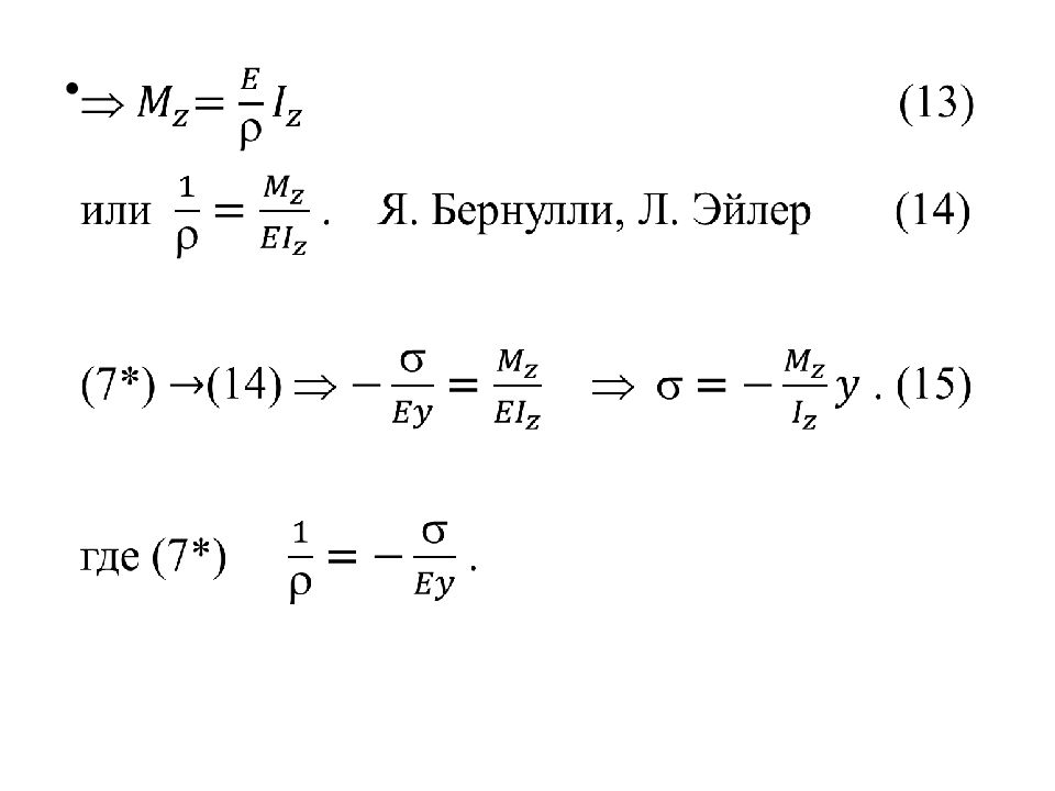
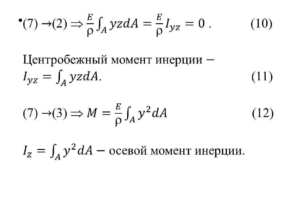
Слайд 26

(8) (9)

Изображение слайда

Слайд 27

Изображение слайда

Слайд 28

Изображение слайда

Слайд 29

Изображение слайда

Слайд 30: Поперечная деформация

Изображение слайда

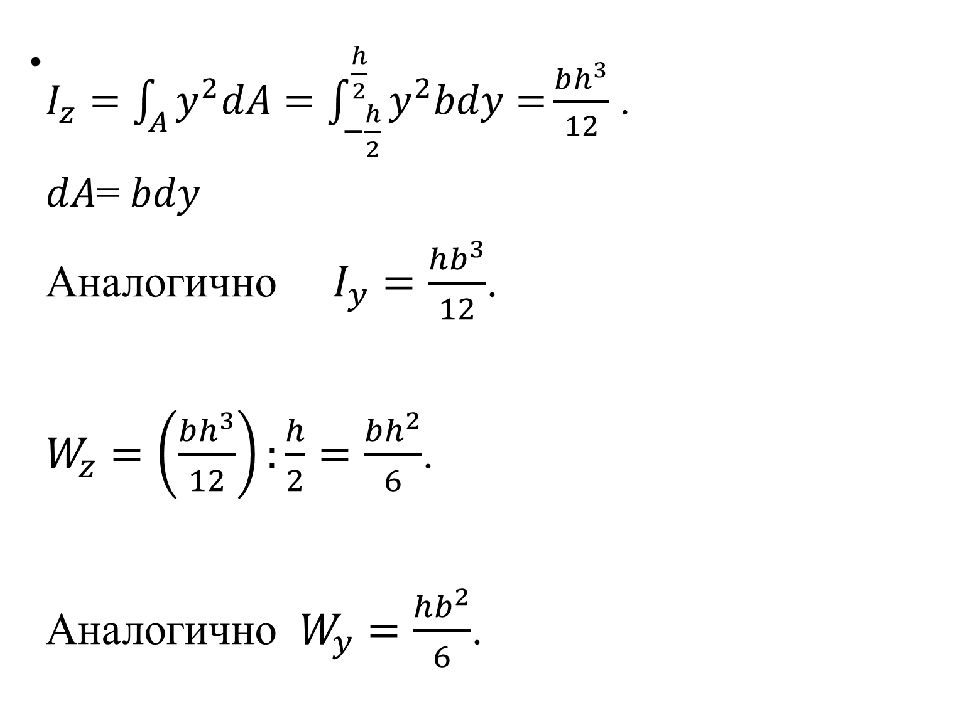
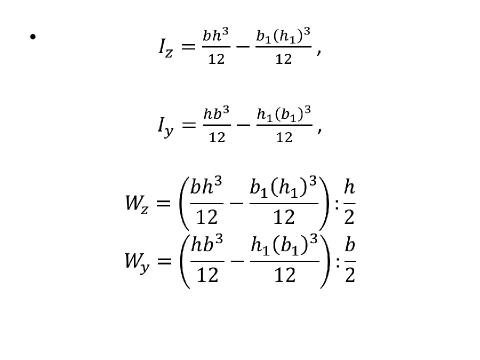
Слайд 31: Моменты инерции и моменты сопротивления некоторых сечений

Прямоугольное сечение

Изображение слайда

Слайд 32

Изображение слайда

Слайд 33

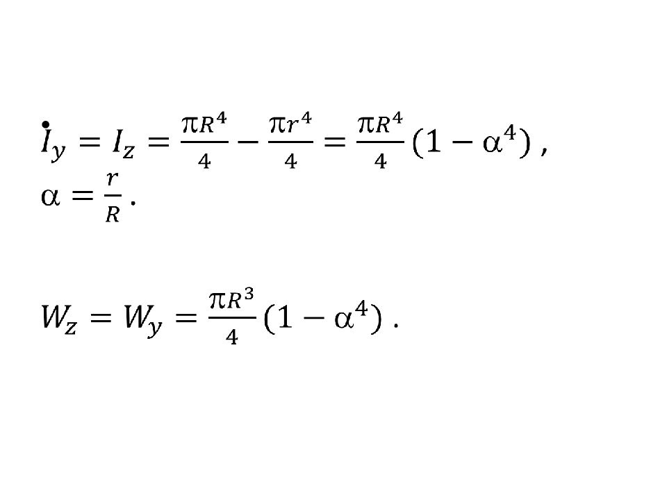
Круглое сечение

Изображение слайда

Слайд 34: Кольцевое сечение

Изображение слайда

Слайд 35

Изображение слайда

Слайд 36

Изображение слайда

Слайд 37

Изображение слайда

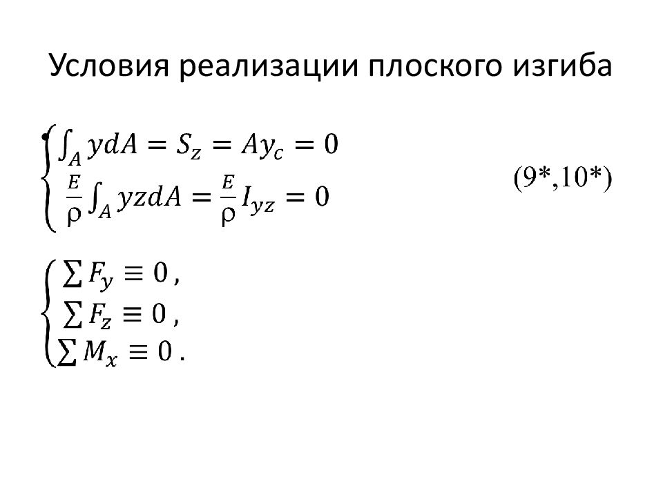
Слайд 38: Условия реализации плоского изгиба

Изображение слайда

Слайд 39

Рациональные формы сечений y z

Изображение слайда

Слайд 40

Изображение слайда

Слайд 41: Рациональные формы сечений

а) Двутавр б) Швеллер

Изображение слайда

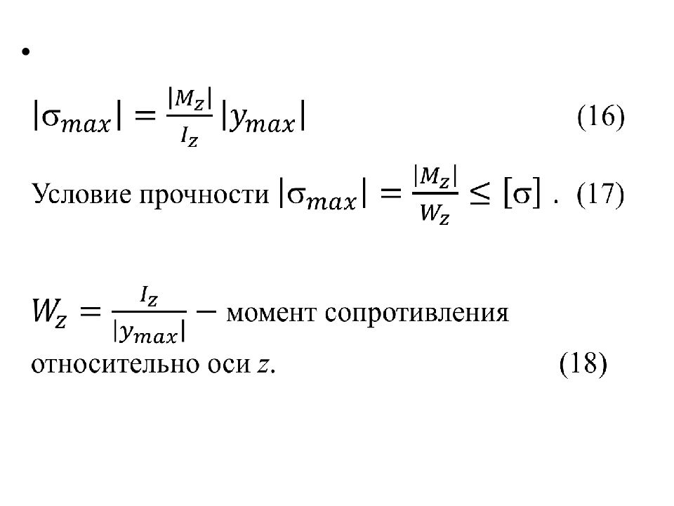
Слайд 42: Состояние предельной упругости и расчет изогнутого стержня на прочность

Изображение слайда

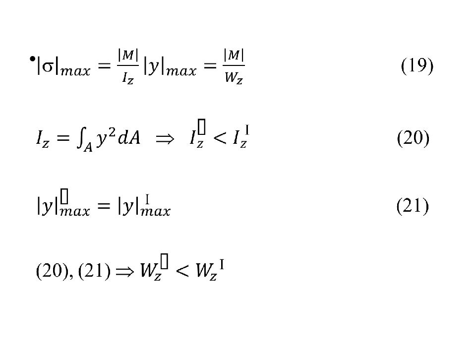
Слайд 43

Изображение слайда

Слайд 44

Изображение слайда

Слайд 45: Распространение зависимостей, полученных для чистого изгиба, на общий случай изгиба

Изображение слайда

Слайд 46

Депланация сечения

Изображение слайда

Слайд 47

Изображение слайда

Последний слайд презентации: Изгиб стержней. Плоский изгиб: Спасибо за внимание!

Изображение слайда

Похожие презентации