Производные фенотиазина — презентация
logo
Производные фенотиазина
  • Производные фенотиазина
  • Производные фенотиазина
  • Производные фенотиазина
  • Производные фенотиазина
  • Производные фенотиазина
  • Производные фенотиазина
  • Производные фенотиазина
  • Производные фенотиазина
  • Производные фенотиазина
  • Производные фенотиазина
  • Производные фенотиазина
  • Производные фенотиазина
  • Производные фенотиазина
  • Производные фенотиазина
  • Производные фенотиазина
  • Производные фенотиазина
  • Производные фенотиазина
  • Производные фенотиазина
  • Производные фенотиазина
  • Производные фенотиазина
  • Производные фенотиазина
  • Производные фенотиазина
1/22

Первый слайд презентации: Производные фенотиазина

Изображение слайда

Слайд 2

Производные фенотиазина Тиазин фенотиазин(дибензотиазин)

Изображение слайда

Слайд 3

Изображение слайда

Слайд 4

Общая формула производных фенотиазина 1)10-алкилпроизводные 2)10-ацилпроизводные

Изображение слайда

Слайд 5

Пространственная структура.

Изображение слайда

Слайд 6

Лекарственные препараты. Chlorpromazine Hydrochloride Хлорпромазина гидрохлорид ( Аминазин ) 2- хлор -10-(3 I - диметиламинопропил )- фенотиазина гидрохлорид

Изображение слайда

Слайд 7

Promazine Hydrochloride Промазина гидрохлорид ( Пропазин ) 10-(3 I -диметиламинопропил)-фенотиазина гидрохлорид Levomepromazine Левомепромазин (Тизерцин) 2-метокси-10-(3 I -диметиламино-2 I -метилпропил)-фенотиазина гидрохлорид

Изображение слайда

Слайд 8

Trifluoperazine Hydrochloride Трифлуоперазина гидрохлорид ( Трифтазин ) 2-Трифторметил-10-[3 I -(1’-метилпиперазинил-4 I )-пропил] -фенотиазина дигидрохлорид

Изображение слайда

Слайд 9

Fluphenazine Decanoate Фторфеназин-деканоат 2-Трифторметил-10-{3-[1-(β-каприноилоксиэтил)- -пиперазинил-4]-пропил}-фенотиазин

Изображение слайда

Слайд 10

Moracizine Hydrochloride Морацизина гидрохлорид ( Этмозин ) 2-этоксикарбониламино-10-(3-морфолилпропионил)-фенотиазина гидрохлорид

Изображение слайда

Слайд 11

Ethacizine Этацизин 2-этоксикарбониламино-10-(3-диэтиламинопропионил)-фенотиазина гидрохлорид

Изображение слайда

Слайд 12

Синтез Получение фенотиазинового ядра 2. Синтез радикала в зависимости от структуры лекарственного вещества.

Изображение слайда

Слайд 13

3. Присоединение этого радикала к фенотиазиновому ядру (в положение 10) и получение гидрохлорида основания.

Изображение слайда

Слайд 14

Затем атом хлора замещают соответствующим радикалом.

Изображение слайда

Слайд 15

Качественный анализ. В УФ спектре max 1 = λ 254–256нм max 2 = λ 306-310 2. В ИК спектре 10-ацильные производные имеют полосу поглощения в области 1660 – 1680см -1, обусловленную наличием карбонильной группы. 3. рН водных растворов 10-алкилпроизводные = 3-4 10-ацилпроизводные = 4-6 4.

Изображение слайда

Слайд 16

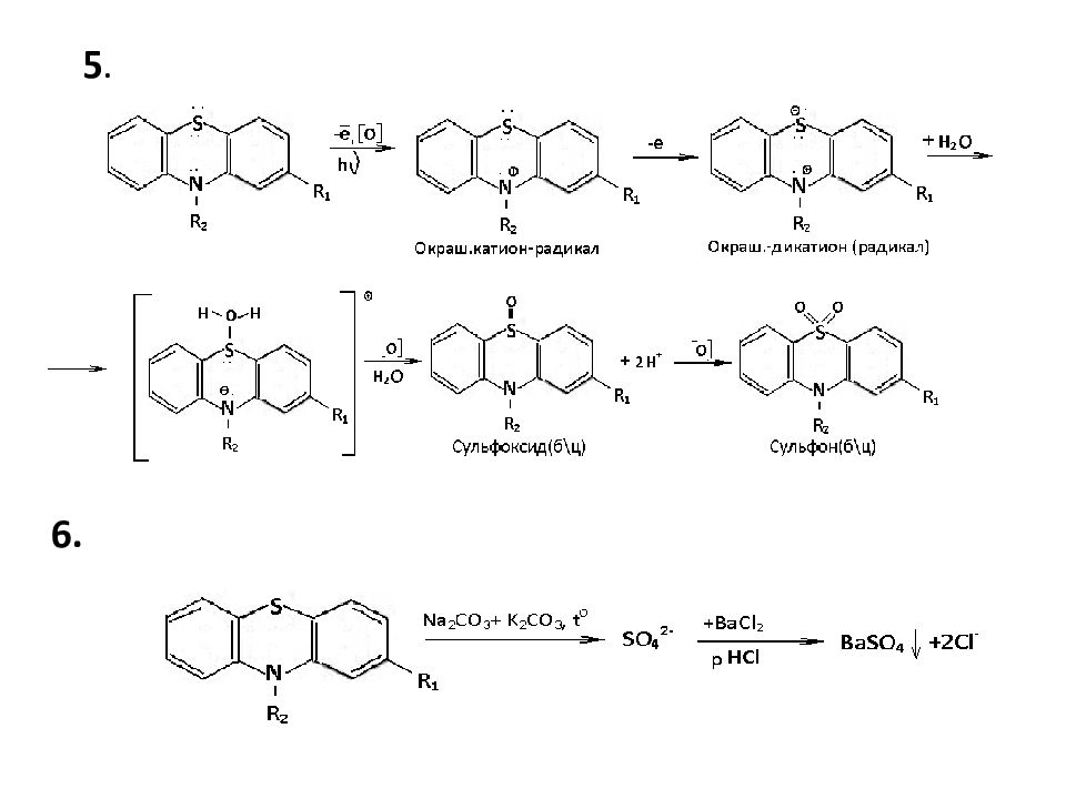
5. 6.

Изображение слайда

Слайд 17

7. Соли F е 3+, Hg 2+, Co 2+, Pd 2+ и т.д. 8.Реакции осаждения с KCNS, ( NH 4 ) 2 C 2 O 4, K 3 [ Fe ( CN ) 6 ].

Изображение слайда

Слайд 18

Реакции отличия 1. 2. 3.

Изображение слайда

Слайд 19

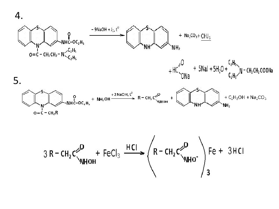
4. 5.

Изображение слайда

Слайд 20

Количественное определение 1.

Изображение слайда

Слайд 21

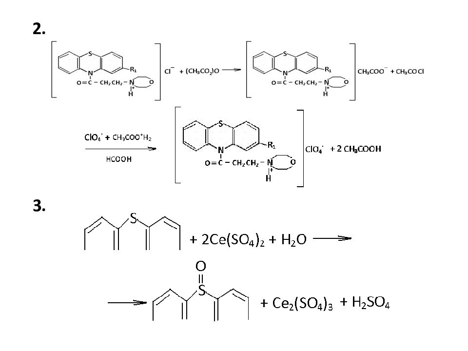
2. 3.

Изображение слайда

Последний слайд презентации: Производные фенотиазина

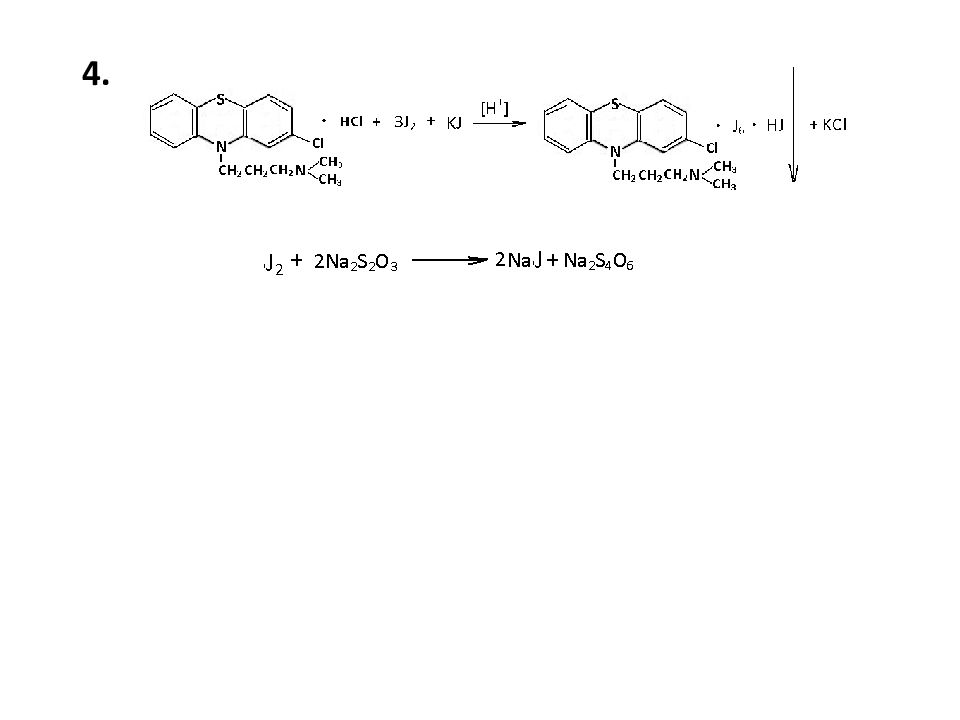
4.

Изображение слайда

Похожие презентации