Раздел 1. Пределы и их свойства Тема 1.1. Роль и место математики в современном — презентация
logo
Раздел 1. Пределы и их свойства Тема 1.1. Роль и место математики в современном
  • Раздел 1. Пределы и их свойства Тема 1.1. Роль и место математики в современном мире
  • Роль и место математики в современном мире
  • Раздел 1. Пределы и их свойства Тема 1.1. Роль и место математики в современном
  • Для математических методов характерны:
  • Правила вычисления дробей
  • Свойства степени
  • Свойства корня
  • Линейные уравнения
  • Квадратные уравнения
  • Раздел 1. Пределы и их свойства Тема 1.1. Роль и место математики в современном
  • Раздел 1. Пределы и их свойства Тема 1.1. Роль и место математики в современном
  • Теорема Виета
  • Раздел 1. Пределы и их свойства Тема 1.1. Роль и место математики в современном
1/13

План 1. Роль и место математики в современном мире. 2. Повторение, формулы. 3. Решение уравнений.

Изображение слайда

Математика – (греч. Maqhmatica – mathematike, от maqhma – mathema – знание, учение, наука) – наука о количественных отношениях и пространственных формах действительного мира.

Изображение слайда

Слайд 3

Современная математика – это “ метанаука ”, объединяющая комплекс дисциплин: арифметику – теорию чисел, алгебру, геометрию, математический анализ, теорию множеств, теорию вероятностей, математическую статистику, теорию игр и многие, многие другие (насчитывают несколько десятков крупных направлений). На стыках наук появляются разделы: математическая физика, математическая логика, математическая лингвистика, математическая экономика и др.

Изображение слайда

Слайд 4: Для математических методов характерны:

четкость формулировок и определений; использование точных количественных оценок; логическая строгость; сочетание индуктивного и дедуктивного подходов; универсальность.

Изображение слайда

Слайд 5: Правила вычисления дробей

Изображение слайда

, a

Изображение слайда

Изображение слайда

Слайд 8: Линейные уравнения

ах+в =0 – общий вид линейного уравнения. ах=-в х=

Изображение слайда

Слайд 9: Квадратные уравнения

ах 2 +вх+с=0 – общий вид полного квадратного уравнения. х 1,2 =

Изображение слайда

Слайд 10

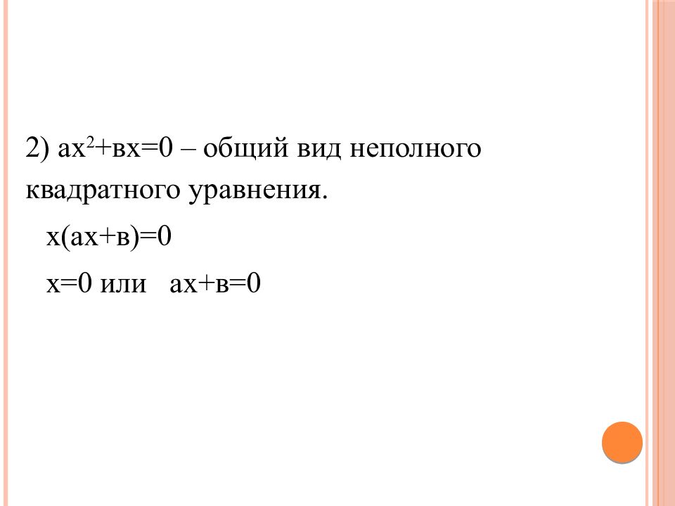
2) ах 2 +вх=0 – общий вид неполного квадратного уравнения. х( ах+в )=0 х=0 или ах+в =0

Изображение слайда

Слайд 11

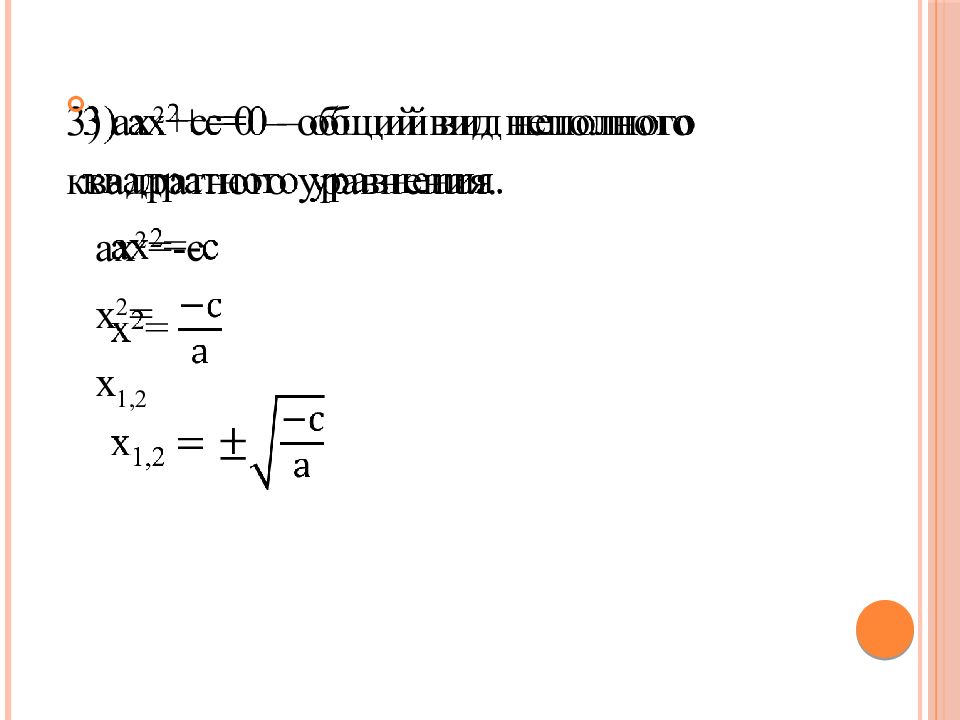
3) ах 2 +с=0 – общий вид неполного квадратного уравнения. ах 2 =-с х 2 = х 1,2

Изображение слайда

Слайд 12: Теорема Виета

х 1 +х 2 = ; х 1* х 2 =.

Изображение слайда

Последний слайд презентации: Раздел 1. Пределы и их свойства Тема 1.1. Роль и место математики в современном

№ Уравнения 1. +3(10-х)=28+х 2. 3. 4. 49- 5. № Уравнения 1. 2. 3. 4. 5.

Изображение слайда

Похожие презентации